Xin chào mọi người! Chắc hẳn nhiều bạn khi tìm hiểu đèn thủy sinh luôn có một thắc mắc rằng: "Làm sao để biết công suất chiếc đèn thủy sinh đó liệu có phù hợp với bể thủy sinh của mình không?"
Hôm nay hãy cùng Thủy Sinh 4U đi tìm hiểu cách tính công suất đèn cho hồ thủy sinh. Và điều này sẽ giúp mọi người có thể tính được lượng ánh sáng đèn phù hợp, giúp đèn thủy sinh không quá dư sáng hoạc thiếu sáng.
Bạn có thể đọc thêm bài chia sẻ: Ý nghĩa biểu đồ quang phổ đèn thủy sinh để hiểu rõ hơn về các biểu đồ của đèn thủy sinh và cách mà cây thủy sinh sử dụng ánh sáng để phát triển như thế nào?
Định nghĩa và các đơn vị tính sử dụng
Để tính công suất của đèn thủy sinh, chúng ta thường sử dụng 3 chỉ số chính là Watt, Lumen và Par. Để hiểu hơn về các chỉ số này, mọi người có thể tìm kiếm thông tin đầy đủ hơn tại GG.
- Lumen là mức độ tỏa sáng, thông thường chỉ số này sẽ được ghi rất rõ trên bao bì và thông tin các sản phẩm.
- Watt hay còn gọi là oát là đơn vị đo công suất P trong hệ đo lường quốc tế, lấy theo tên của James Watt.
- Lux (ký hiệu: lx) là đơn vị đo độ rọi trong SI. Nó được sử dụng trong trắc quang học để đánh giá cường độ ánh sáng cảm nhận được.
Ngày trước khi công nghệ bóng đèn LED chưa thật sự phổ biến, cường độ ánh sáng của bóng đèn huỳnh quang được tính bằng mức độ sử dụng điện (Công suất). Tuy nhiên, điều này làm cho việc so sánh các loại nguồn sáng khác nhau trở nên rất khó khăn vì bóng đèn, đèn ống huỳnh quang và đèn LED không thể so sánh trực tiếp về điểm này.
Thay vào đó, chúng ta sử dụng một đơn vị tính khác đó chính là Lumens (đơn vị tính mức độ tỏa sáng). Lumens đề cập chính xác đến lượng ánh sáng mà một nguồn sáng cụ thể phát ra, chứ không phải là lượng năng lượng mà nó tạo ra.
Công thức tính công suất đèn thủy sinh phù hợp
Để mọi thứ không quá khó hiểu với mọi người, Tropica đã có một bảng công thức để giúp mọi người có thể tính được lượng Lumens hay công suất phù hợp với bể thủy sinh của bạn.
![]()
Ví dụ:
Với một bể thủy sinh 60-40-40 Ta sẽ có 96l nước, trừ đi phần layout chúng ta còn khoảng 75 đến 80 lit. Và với một bể thủy sinh thông thường sẽ cần:
Công thức: 80*(20 ~ 40) = 1600 ~ 3200 Lumen
Note: (20 lumen tương ứng với ống T5 0,5 watt trên lít, 40 lumen tương ứng với khoảng 1 watt T5/lít.)
Lượng ánh sáng bao nhiêu là đủ? tất cả sẽ phụ thuộc vào lượng cây và dòng cây trong bể thủy sinh của bạn.
- Nếu bạn đang trồng các dòng cây cần ít ánh sáng như: Rêu, rong, dương xỉ... chỉ cần 10-20 lumen (0,25 đến 0,5 watt) mỗi lít là đủ.
- Đối với cây cần lượng ánh sáng "Trung bình" như: các dòng cây cắt cắm, Ráy..., chúng tôi khuyên dùng 20-40 lumen (0,5 đến 1 watt) mỗi lít.
- Các dòng cây cần lượng ánh sáng mạnh sẽ cần nhiều hơn hơn 40 lumen (1 watt) mỗi lít.
Loạt hình ảnh cho thấy cùng một bể cá (bể 54 lít)
- Hình 1: Đèn T8 tiêu chuẩn 15 Watts.
- Hình 2: Đèn T5 24 Watts
- Hình 3: Sử dụng 2 đèn T5 với 24 Watts mỗi đèn
![]()
![]()

Điều này sẽ giúp bạn dễ hình dung bao nhiêu nhiều ánh sáng hơn được cung cấp bằng cách sử dụng ống T5 thay vì ống T8 và lượng ánh sáng tương đương khi bạn nhận được khi chuyển từ một đèn sang hai đèn.
Bạn cũng có thể sử dụng shade có gương phản để có thể tăng lượng ánh sáng cho bể thủy sinh của bạn với cùng một chiếc đèn thủy sinh.
Thông số Lumen, lux và photon
Lumen, lux và photon là những đơn vị thông thường nhất để đo lượng ánh sáng, dưới đây là bảng thông số về chỉ số Lux ở các dạng sáng khác nhau.
![]()
Lumen chỉ định lượng ánh sáng phát ra, trong khi chỉ số Lux chỉ định lượng ánh sáng trên mỗi khu vực (giống như lumen trên mét khối). Do đó, Lux được sử dụng để mô tả lượng ánh sáng sẵn có cho cây trồng ở một vị trí nhất định trong bể cá. Các phép đo ánh sáng tiêu chuẩn chỉ định lượng ánh sáng tính bằng Lux.
Thông số photon (µmol) là thuật ngữ khoa học để chỉ lượng ánh sáng trên một khu vực, và nó chỉ rõ số lượng photon/ m2/giây (µmol/m2/s). Thông số photon thường chỉ được đưa ra trong các vùng bước sóng từ 400 đến 700 nm, đây chính xác là những bước sóng mà thực vật có thể sử dụng.
![]()
Thông số photon có thể được chuyển đổi thành Lux bằng cách nhân thông lượng photon với 74 đối với bóng đèn ống huỳnh quang màu trắng. Tuy nhiên, hệ số thay đổi từ 33 đến 106 tùy theo loại nguồn sáng bạn có.
Cách tính tốt nhất cho cây thực vật trong bể của bạn là sử dụng chỉ số Lux hoặc photon, vì điều này liên quan nhất đến thực vật về lượng ánh sáng đến lá của chúng (lux) - và không cần nói quá nhiều về nguồn sáng mạnh như thế nào (lumen).
Note: Chính xác lượng ánh sáng mà cây có được chủ yếu được kiểm soát bởi khoảng cách từ nguồn sáng, khoảng cách càng lớn thì ánh sáng chiếu tới chúng càng ít.
Lượng ánh sáng giảm khi ở xa đèn thủy sinh
Lượng ánh sáng giảm đáng kể theo khoảng cách từ nguồn sáng đến chân bể và từ tâm ra ngoài đến các góc của bể. Trong ánh sáng ban ngày, khoảng cách này không có ý nghĩa gì, vì khoảng cách đến mặt trời là rất lớn. Nhưng từ nguồn sáng nhân tạo, khoảng cách nhỏ hơn nhiều và do đó rất quan trọng đối với lượng ánh sáng mà cây nhận được.
![]()
Chúng tôi đã xây dựng một phép tính ánh sáng đơn giản bằng cách sử dụng một tấm đại diện cho phần đế của bể cá, với nguồn sáng cách tấm 30cm. Chúng tôi đã đo từ trung tâm của bể cá ra các góc và chiều cao tương tự là 10cm (tương tự như vậy, từ trung tâm ra các góc).
Có thể thấy rõ từ bảng, có nhiều ánh sáng hơn đáng kể ngay dưới nguồn sáng ở trung tâm của bể cá trong khi ánh sáng giảm đáng kể ở các góc. Bằng cách nâng cây chỉ 10 cm về phía đèn, nó sẽ nhận được nhiều ánh sáng hơn 40%. Hiệu ứng này không được tìm thấy ở các góc, do sự lan tỏa ánh sáng từ nguồn (đèn huỳnh quang) kém. Có thể dễ dàng nâng cây lên hướng có ánh sáng bằng cách đặt chúng trên giá thể hoặc đá, lũa.
Những cây cần nhiều ánh sáng bạn có thể được đặt ở vị trí thuận lợi đó là ở trung tâm của bể cá, tốt nhất là hướng về phía ánh sáng - trong khi những cây thuộc loại đễ trồng như dương xỉ và tiêu thảo sẽ phát triển tốt ở các khu vực mép bể.
![]()
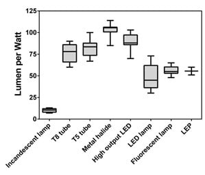
Mức độ phát sáng của các dạng đèn
Có rất nhiều loại nguồn sáng khác nhau có sẵn, từ bóng đèn kiểu cũ và đèn halogen kim loại đến các loại đèn LED hiện đại.
Hình dưới đây cho thấy lượng ánh sáng được cung cấp bởi dạng đèn khác nhau:

- | --- | cho ra toàn bộ khoảng phát sáng của dạng đèn đó.
- Hình hộp cho ra 50% số quan sát được.
- Đường ngang nhỏ là giá trị trung vị.
Biểu đồ thông số cho thấy rõ ràng rằng bóng đèn (sợi đốt) là nguồn sáng phát ra ít ánh sáng nhất trên mỗi Watt mà nó sử dụng (lumen trên mỗi Watt). Nó cũng cho thấy rằng ống T8 kiểu cũ cho ra gần như nhiều ánh sáng trên mỗi Watt so với ống T5 hiện đại hơn.
Cuối cùng, hình vẽ cho thấy đèn metal halide là nguồn sáng phát ra mạnh nhất trên mỗi Watt. Ngay sau dạng nguồn sáng này chính là nguồn ánh sáng từ các dạng đèn LED. Ưu điểm của hai nguồn sáng này là chúng chiếm rất ít không gian, vì vậy có thể sử dụng nhiều đơn vị trong một chiếc đèn, và bằng cách này có thể cung cấp một lượng lớn ánh sáng trên cùng một khoảng không gian.
Nguồn: https://tropica.com/en/guide/make-your-aquarium-a-success/light/